Savoir lire une ordonnance de lunettes

 
   
Il s'agit d'un examen indispensable:

L'ordonnance est capitale pour la réalisation de vos lunettes, elle a été remplie par un médecin ophtalmologiste dont le rôle est essentiel . 

Le médecin qui vous  examine , ne se contente pas de définir précisément la formule de vos verres, ce qui en soit est un acte technique, mais cet examen fait partie d'une consultation médicale dont le but est de maintenir vos yeux en bonne santé dans les années a venir. 

Des examens complémentaires tels que l'observation de la rétine, des différents milieux transparents de l'oeil,  la prise de la tension oculaire, un champ visuel, un examen du système lacrymal, la mise en évidence de troubles de la convergence  ou d'autres peuvent être réaliser. 

il est inquiétant de voir tant de personnes  venir dans nos magasins directement sans se soucier de ces examens  médicaux et désireuses de s'équiper directement . 

Il est même fréquent de rencontrer des  personnes équipées de lunettes  pré-montées  qui n'ont jamais vu de médecin ophtalmologiste, au risque de leur santé visuelle. 

Voici les examens d'ophtalmologie de base:

I) REFRACTION:

(Le but est de rechercher une compensation optique : sphère et cylindre)

1)Boîte d'essai : contient des verres d'essai positifs ou négatifs et une lunette d'essai.

2)Tableau d'acuité : contient des optotypes de tailles différentes, et en général chez l'ophtalmologiste cela va de 1/10e à 12/10e ou plus .

voir test


Boîte d'essai + Tableau d'acuité = méthode subjective car on demande la participation de patient.

3)Skyascope : C'est une méthode objective (la personne regarde à l'infini).
Un rayon lumineux réfléchi par un miroir est projeté dans l'œil du patient.
Le médecin observe à travers la pupille le déplacement du nombre sur la rétine du patient.
Il utilise une règle à skiascopie composée de sphères (ici pas de cylindre), soit positives ou soit négatives.La distance d'observation (patient - médecin) est de 50cm, 60cm, ou 1m.

attention:il est préférable de dilater l'œil du patient afin de relâcher au mieux l'accommodation. 
 

4)Kératomètre/Ophtalmomètre :

ophtalmomètrie :mesure objective de l'astigmatisme de la face antérieure de la cornée (face avant). L'unité de mesure est la dioptrie, et cette mesure sert de base à la recherche subjective de l'astigmatisme total (astigmatisme total et pas que cornéen).
Kératométrie :mesure objective des rayons de courbure de la face antérieure de la cornée dans ses 2 méridiens principaux. Cette mesure sert à l'adaptation des lentilles de contact. Le rayon moyen cornéen est d'environ de 7,7 mm.

Kératomètre /Ophtalmomètre automatiques: méthode objective qui ne demande pas l'intervention du patient qui ne regarde que des lettres ou des dessins. Un ticket sort avec des indications qui sont : le rayon de courbure cornéen et l'amétropie (valeur de la compensation).

attention: réfraction fiable que si l'œil est dilaté.

5)Biomètre : calcul de la puissance d'un implant postopératoire (cataracte) : cet appareil combine la longueur de l'œil et la puissance de la cornée.
 

 

II ) RECHERCHE D'UNE PATHOLOGIE EVENTUELLE :

1)Biomicroscope ou lampe à fente: examen clinique de la cornée, paupière, humeur aqueuse, cristallin, corps vitré, rétine…

attention: l'observation de la fovéa se fait à l'aide d'une loupe de 90 dioptries.Le biomicroscope sert à l'adaptation des lentilles de contact.

2)Ophtalmoscope : même usage que le biomicroscope mais avec une utilisation plus délicate : très proche du patient (presque œil contre œil), avec un champ beaucoup plus petit.

3)Miroir à 3 faces :sorte de cône qui se plaque contre l'œil.
Observation de la rétine périphérique, l'œil est anesthésié par des gouttes et le miroir est recouvert d'un gel pour ne pas irriter la cornée.

4)Tonomètre à aplanation : il permet de mesurer la force nécessaire pour aplanir une surface cornéenne de même étendue.
La mesure se fait sous un grossisseur de 10 à travers le microscope de la lampe à fentes.
On met des gouttes anesthésiantes et des gouttes colorées (fluorescéine) dans l'œil du patient : l'observation se fait grâce à la couleur.
La valeur du tambour de réglage multipliée par 10  donne à l'ophtamologiste la pression oculaire en millimètre de mercure (noté mmg). Il y a une anomalie si la pression est supérieure à 20 mmg.

Le tonomètre non-contact (NCT): il émet pendant quelques fractions de secondes un jet d'air exactement vers l'avant en direction de l'oeil et aplanit ainsi la cornée, qui est bombée sphériquement vers l'avant, jusqu'à un certain niveau. Le temps nécessaire pour obtenir cette aplanation correspond (avec quelques écarts) à la valeur de la pression intraoculaire.

 


L'ORDONNANCE  DE VERRES  CORRECTEURS      
 
Cabinet  d'Ophtalmologie
des Docteurs Jean Voydézieu,  Elie Sonbo
Maladie et Chirurgie des Yeux

 Docteur Jean Voydézieu
   C.E.S d'Ophtalmologie
     98 1 00284 0 0 3 50 1

Villebleue le 11/06/2007 

Me Jennie Vouaplue 
ordonnance de lunettes
pour voir de loin et de prés


 
     

14 rue lointaine   97145 villebleue
 


 

Apprendre à la déchiffrer :

il est tout d'abord indiqué l'usage auquel ces lunettes vont être destinées: 
-pour voir de
loin
-pour voir de prés
-pour voir de loin et de prés 

vient  ensuite  les puissances optiques de chacun des verres : 
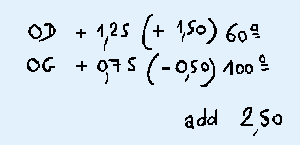
OD signifie "oeil droit" 
OG signifie "oeil gauche" 

OD  suivi d'une formule mathématique qui peut être simple comme par exemple +1.25    ou plus complexe comme +1.25(+1.50) 60°

OG  suivi d'une formule mathématique qui peut être  simple comme par exemple +0.75 
ou plus complexe comme +0.75(-0.50)100°   

ensuite   parfois  ADD suivie de +2.50 par exemple.  ( ADD signifie "addition" pour définir la vision de prés)

les parenthéses ( )  entourent une valeur  mathématique:

il s'agit de l'astigmatisme.

 


 la formule est simple,
 elle est précédée du signe +
POUR VOIR DE LOIN
Il s'agit  d'hypermétropie
<cliquer
 la formule est simple ,
 elle est précédée du signe +
 POUR VOIR DE PRES
 Il s'agit de presbytie
<cliquer
 la formule est simple ,
 elle est précédée du signe -
  POUR VOIR DE LOIN
  Il s'agit de myopie
<cliquer

la formule est plus complexe 
 POUR VOIR DE LOIN

un astigmatisme est associé a votre amétropie
un calcul intermédiaire est nécessaire:

votre formule se  présente sous la forme 

 OD  +3,00(-2,00)150° par exemple 

il est nécessaire de noter la valeur qui 
suit directement OD  , que nous 
appellerons X1 
 ici  X1=+3.00

puis noter la valeur X2 égal a la somme de
X1 + la valeur de ce qui est 
entre parenthèse 
 X2= +3,00 -2,00= +1,00 



noter donc dans cet exemple 
 X1=+3,00 
 X2=+1,00 

il s'agit des deux puissances optiques 
particulières qui bornent la multitude 
de puissances intermédiaires
des différents méridiens du verre.

Si l'on place une fente au hasard 
selon un méridien de ce verre.
la puissance optique mesurée
sera comprise entre +1,00 et + 3,00

et l'on mesurera  2 puissances particulières :

 +3.00 selon le méridien  à 150  degré
 +1.00 selon le méridien à 60 degré

quand  un  méridien est positif  :
correction de l'hypermétropie selon ce méridien

quand  un  méridien est négatif :
correction de la myopie selon ce méridien 

<cliquer 
il est indiqué ADD
Il s'agit de presbytie mais cette fois associée à une amétropie de vision de loin  voir donc plus haut 
en ce qui concerne  la correction de loin.
<cliquer 




Hit-Parade
Classement de sites - Inscrivez le vôtre!
mis à jour
Copyright © 2001 opticien-lentilles.com.

Navigation

  les amétropies
  la myopie
  l'hypermétropie
  l'astigmatisme
  la presbytie
  être emmétrope
  vous portez des lunettes
  comment corriger la myopie ?
  comment poser des lentilles ?
  test d'acuité visuelle
  Test vision des couleurs
  simulation couleur de l'oeil
  retour 1er page du site
  plan du site